Vascular dysfunction measured by fingertip thermal monitoring is associated with the extent...
- heartlung
- Jan 9, 2023
- 2 min read
Vascular dysfunction measured by fingertip thermal monitoring is associated with the extent of myocardial perfusion defect
Naser Ahmadi MD, Nudrat Usman MD, John Shim MD, Vivek Nuguri MD, Panukorn Vasinrapee MD, Fereshteh Hajsadeghi MD, Zhiying Wang MS, Gary P. Foster MD, Khurram Nasir MD, MPH, Harvey Hecht MD, Morteza Naghavi MD & Matthew Budoff MD
Journal of Nuclear Cardiology volume 16, pages431–439 (2009)
Abstract
Background: Previous studies have shown that vascular dysfunction measured by digital thermal monitoring (DTM) during an arm-cuff reactive hyperemia procedure correlates with the severity of coronary artery disease measured by coronary artery calcium in asymptomatic patients. Current study investigates the correlation between DTM and abnormal myocardial perfusion imaging (MPI).
Methods: About 116 consecutive patients with chest discomfort, age 57 ± 10 years, underwent MPI, DTM and Framingham Risk Score (FRS) assessment. Fingertip temperature rebound (TR), DTM index of vascular reactivity, was assessed after a 2-minute arm-cuff reactive hyperemia test. The extent of myocardial perfusion defect was measured by summed stress score (SSS).
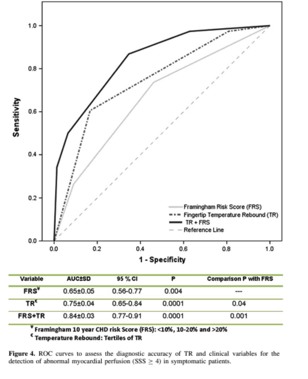
Results: TR decreased from SSS < 4 (1.61 ± 0.15) to 4 ≤ SSS ≤ 8 (0.5 ± 0.22) to 9 ≤ SSS ≤ 13 (0.26 ± 0.15) to SSS > 13 (−0.37 ± 0.19) (P = .0001). After adjusting for cardiac risk factors, the odds ratio of the lowest versus two upper tertiles of TR was 3.93 for SSS ≥ 4 and 9.65 for SSS ≥ 8 compared to SSS < 4. TR correlated well with SSS (r = −0.88, P = .0001). Addition of TR to FRS increased the area under the ROC curve to predict abnormal MPI, SSS ≥ 4, from 0.65 to 0.84 (P < .05).
Conclusion: Vascular dysfunction measured by DTM is associated with the extent of myocardial perfusion defect independent of age, gender, and cardiac risk factors.
Read Full Text Here: https://link.springer.com/article/10.1007/s12350-008-9044-y

![Lipoprotein(a) levels predict endothelial dysfunction in maintenance hemodialysis patients: evidence from [VENDYS] vascular reactivity index assessment](https://static.wixstatic.com/media/dac531_5285607cc591409a9d83746f042af7c6~mv2.png/v1/fill/w_980,h_980,al_c,q_90,usm_0.66_1.00_0.01,enc_avif,quality_auto/dac531_5285607cc591409a9d83746f042af7c6~mv2.png)


Comments